Skip to content
India Crime Mirror

India Crime Mirror

ઇન્ડિયા ક્રાઇમ મિરર

  • Home
  • સમાચાર
  • ગુજરાત
  • ભારત
  • ધર્મ અને આધ્યાત્મિકતા
  • More
    • આંતરરાષ્ટ્રીયYou can add some category description here.
    • Entertainment
    • Tech
    • Corona
Entertainmentધર્મ અને આધ્યાત્મિકતાભારત

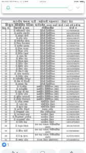
નિઃશુલ્ક ટેલિફોનિક મેડિકલ સલાહ : ડૉક્ટરોનું લિસ્ટ.

India Crime MirrorMarch 28, 2020

નિઃશુલ્ક ટેલિફોનિક મેડિકલ સલાહ : ડૉક્ટરોનું લિસ્ટ.

Post navigation

⟵ સાવધાન : કોરોનાને નાથવામાં તાપમાનની મહત્વની ભૂમીકા રહેલી છે.
દેશ માં જ્યારે આવી ઈમરજન્સી ની સ્થિતિ હોય ત્યારે આ બઉ મોટો ગુનો છે ગ્રાહકે કરેલી દુકાનદાર વિરુધ્ધ ની ફરિયાદ સીધા કન્ટ્રોલ ને જાણ કરો *ટોલ્ફ્રી નંબર1800114000* ⟶

Related Posts

*અમદાવાદની ૧૪૭મી જગન્નાથ રથયાત્રા શાંતિ-સલામતી સાથે સફળતાપૂર્વક પાર પાડવા પોલીસ તંત્ર સંપૂર્ણ સજ્જ અને પ્રતિબદ્ધ*

*અમદાવાદની ૧૪૭મી જગન્નાથ રથયાત્રા શાંતિ-સલામતી સાથે સફળતાપૂર્વક પાર પાડવા પોલીસ તંત્ર સંપૂર્ણ સજ્જ અને પ્રતિબદ્ધ*   ગાંધીનગર, સંજીવ રાજપૂત: મુખ્યમંત્રી…

*અમદાવાદના કૈદીઓ દ્વારા બનાવવામાં આવતા ‘જેલ ભજીયા હાઉસ’ને અપાશે નવો હેરિટેજ લુક*

*અમદાવાદના કૈદીઓ દ્વારા બનાવવામાં આવતા ‘જેલ ભજીયા હાઉસ’ને અપાશે નવો હેરિટેજ લુક*   અમદાવાદ, સંજીવ રાજપૂત: આર.ટી.ઓ ખાતે કેદીઓ દ્વારા…

અખબારી યાદી મૈત્રી સંસ્થા દ્વારા તેજસ્વી વિદ્યાર્થીઓનો ઇનામ વિતરણ અને સરસ્વતી સન્માનનો કાર્યક્રમ આજરોજ ઑલ્ફ્રેડ હાઇસ્કુલ ભુજ ખાતે યોજાયો ભુજ…

JOIN US ON WHATSAPP

Live Visitors
3350260
Total Visitors
Categories
Instagram
Recent Posts
  • *ગોંડલ નિખિલ દોંગાના આક્ષેપ બાદ પૂર્વ ધારાસભ્ય જયરાજસિંહ જાડેજાનો પલટવાર*
  • *સૌરાષ્ટ્ર પંથકમાં નિબંધ સ્પર્ધામાં પ્રથમ આવી ભાણવડનું નામ રોશન કરતી દીકરી હરિતા ચાવડા*
  • વોકથોન અને બાઈકર્સ રેલી દ્વારા વિશ્વ મહિલા દિવસની ઉજવણી કરતી અમદાવાદ શહેર પોલીસ*
Copyright © 2026 India Crime Mirror - MediaHives | Flash News by Ascendoor | Powered by WordPress.